JWST Discovers the Vertical Structure of Uranus' Ionosphere
By Paola I. Tiranti (Northumbria University, School of Engineering, Physics and Mathematics, Newcastle, UK.)
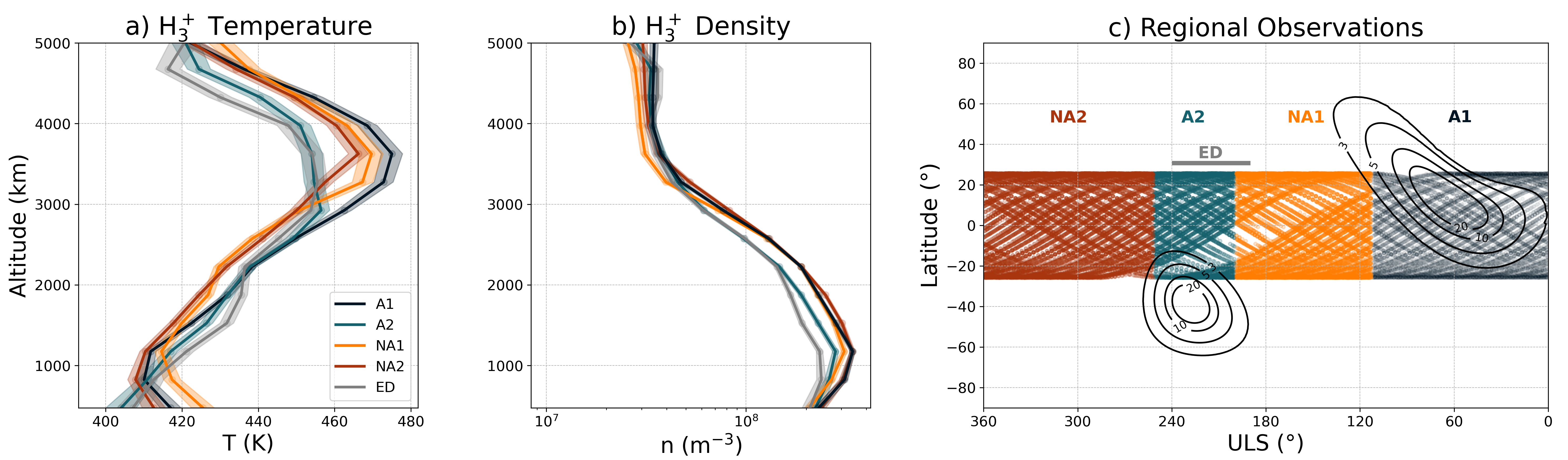
Uranus’s upper atmosphere is one of the least understood in our Solar System, despite being critical for understanding how giant planets interact with their space environment. Using the James Webb Space Telescope, we observed Uranus for a full rotation and measured the vertical structure of its ionosphere - the charged layer of the atmosphere where aurorae form. Our results show that temperatures peak around 3,000 - 4,000 km above the planet, while ion densities peak near 1,000 km, and are significantly weaker than predicted by models. We also find two bright bands of auroral emission close to Uranus’ magnetic poles, as well as a surprising region where both emission and density are depleted, likely linked to the unusual geometry of Uranus’ tilted and offset magnetic field. These discoveries not only confirm that Uranus’ upper atmosphere has been cooling for decades, but also reveal new structures shaped by its magnetic environment. Together, they provide critical benchmarks for future missions and improve our understanding of how giant planets (both in our Solar System and beyond) balance energy in their upper atmospheres.
See publication for more details:
Tiranti, P. I., Melin, H., Moore, L., Thomas, E. M., Knowles, K. L., Stallard, T. S., K. Roberts & O’Donoghue, J. (2026). JWST discovers the vertical structure of Uranus' ionosphere. Geophysical Research Letters, 53(4), e2025GL119304. https://agupubs.onlinelibrary.wiley.com/doi/10.1029/2025GL119304

Fig 1: Vertical profiles in different regions as observed by JWST on 2025-01-19. a) and b) H3+ temperature and number density, respectively, for auroral region 1 (A1, 0° - 112°W, dark grey), auroral region 2 (A2, 200° - 251°W, dark green), non auroral region 1 (NA1, 113° - 199°W, orange), non auroral region 2 (NA2, 252° - 360°W, brown), emission dip region (ED, 190° - 240°W, light grey). c) Limb data points projected on disk used for the different regional profiles, as described above, with L-shells contours from the Q3 model (Connerney et al, 1987).